Optimize design and manufacture of high-laser-damage-threshold ultrafast coatings
Demand for high-quality optics for ultrafast lasers and their various applications has grown over the last years, and in contrast to optics applied for continuous-wave (CW) or longer-pulse lasers, additional dispersion specifications must be fulfilled when optics need to handle pulses with durations in the femtosecond (fs) range.1 Especially below 100 fs, the required spectral bandwidth, which makes coating design and manufacturing more challenging.
Optimizing the laser damage threshold (LDT) of these coatings usually requires a compromise of the selected coating materials and the electric field distribution within the multilayer stack to achieve all optical specifications. A promising three-material approach is discussed, based on an example of a low group delay dispersion broadband mirror centered at a wavelength of 920 nm.
Damage mechanisms in dielectric thin films
Laser optics typically consist of coatings, interfaces, and a substrate. When a laser beam encounters an optic, damage can occur to each of these parts. If we concentrate on the thin-film coatings, three different competing damage mechanisms are observed.2
The first is thermal damage, which is usually dominant for CW lasers and is driven by absorption and heat conductance of the layer materials.
The second mechanism is the defect-induced damage, which is most relevant for non-ultrafast pulsed lasers and is related to particles and contamination.
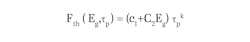
The third mechanism is electronic damage, which is dominant for ultrafast lasers and is dependent on the electric field distribution within the multilayer stack and the ultraviolet (UV) absorption edge of the layer materials. The threshold fluence Fth of a thin film can be derived for the pulse duration τp and the coating material’s UV absorption edge Eg applying this equation:3
Figure 1 shows the threshold fluence of common pure materials and of hafnium dioxide/silicon dioxide (HfO2/SiO2) mixtures for several pulse durations measured at an 800 nm wavelength.4 At a pulse duration of 35 fs, tantalum pentoxide (Ta2O5) has a threshold fluence of 0.5 J/cm2, whereas HfO2 shows a value of 0.8 J/cm2 (with a small content of SiO2, a mixture can even reach 1.0 J/cm2). The threshold fluence of the typical low refractive index material SiO2 is with 1.6J/cm2 at least twice as high as the results for the two high refractive index materials Ta2O5 and HfO2.
Optimize the laser damage threshold of ultrafast coating designs
These threshold fluence values can be used to estimate the LDT of multilayer coatings. The calculation is based on electric field distribution through the stack, which can be determined with commercial thin-film design software like OptiLayer or LZH Spektrum. To optimize the damage threshold, the refractive index profile of a quarter-wave thin-film stack is modified by adding a third pure material or mixture with a higher threshold fluence and a lower refractive index, as shown in red in Figure 2.
This optimization approach is applied below for an example of a low group delay dispersion broadband mirror based on the requirements for the 2023 SPIE damage competition. Table 1 summarizes the optic specifications and LDT measurement parameters.5
Since the threshold fluences used for the LDT estimations are from 1-on-1 measurements with slightly different test conditions, the experimental 100-on-1 results are expected to be lower. For this study, five quarter-wave designs were calculated using the dispersion data of Veeco Spector ion beam sputtering (IBS) machines.
Designs 1 and 2 consist of two coating materials for reference, whereas Designs 3 to 5 are calculated with three materials to demonstrate the optimization approach. The difference between Designs 3 to 5 is that they have one-, two-, or three-layer pairs of HfO2/SiO2 on top of the Ta2O5/SiO2 stack. The group delay dispersion (GDD) specification is an additional constrain for the optimization, as shown in Figure 3 for the five multilayer coatings. Design 1, made of HfO2 and SiO2, does not fulfill the specification and will not be realized.
The electric field distribution at 880 nm for the four remaining designs is calculated with OptiLayer and presented in Figure 4. We estimate LDT by applying LZH Spektrum software, and the damaged layer is marked for each design in the Figure 4.
Design 2 will damage the top Ta2O5 layer at 0.92 J/cm2, but Design 3 is not preferable since the damage occurs in the third Ta2O5 layer due to its lower threshold fluence and still-significant high electric field strength. Design 4 represents the optimum and will damage in the top HfO2 layer at 1.42 J/cm2. Design 5 will also damage the top HfO2 layer at 1.42 J/cm2 and does not show any further LDT improvement.
Experimental results for low group delay dispersion broadband mirror coatings
Three coatings were manufactured by IBS at the Edmund Optics facility in Japan, and their layer thicknesses were precisely controlled by optical broadband monitoring. Figure 5 compares the GDD curve of Designs 2, 4, and 5 measured with the two different instruments, namely the UltraFast Innovations GOBI (solid line) and the KMLabs Chromatis (square+line).
All three designs were coated on superpolished substrates, and their surface roughness was measured by white-light interferometry. The results are compared in Table 2, and it is worth mentioning that the surface roughness of the in-house manufactured superpolished substrate is reproduced by all three designs.
To prove the applied optimization approach, the 100-on-1 LDT of all three IBS coatings was measured by Lidaris at slightly different parameters than at the SPIE damage competition in 2023.
Figure 6 shows the results as well as a 100-on-1 damage probability curve for Design 4. As expected, the measured LDT is lower than the estimated values, but the results confirm the predicted improvement between the reference Design 2 and the optimized Designs 4 and 5. The damage probability curve shows a very sharp transition zone leading to small error bars as it is typical for LDT measurements with pulse durations in the femtosecond range. Within the measurement errors, we show that no further improvement is gained by adding more HfO2/SiO2 layer pairs.
To confirm the discussed optimization approach, IBS coatings with Design 2 and 4 were submitted to the SPIE damage competition in 2023. In Figure 7, the results of this competition are shown as a function of the applied coating materials and grouped to the different coating techniques.5
Since a three-material approach with Ta2O5 and HfO2 as high refractive index layers was used by several participants, it can be pointed out that this approach allowed reaching the highest LDT results (without violating the anonymity of the winners). For IBS coatings, a threshold increase of up to 75% is observed compared to two material Ta2O5/SiO2 reference coatings. These results are valuable for guiding optical coating manufacturers to create high-performance coatings that can support the growing ultrafast laser application space.
REFERENCES
1. O. Wheeler, “Basics of ultrafast lasers: Parts 1-3,” Laser Focus World (2023); see www.laserfocusworld.com/14291054, www.laserfocusworld.com/14292432, and www.laserfocusworld.com/14294148.
2. D. Ristau, M. Jupé, and K. Starke, Thin Solid Films, 518, 1607–1613 (2009).
3. M. Mero, J. Liu, W. Rudolph, D. Ristau, and K. Starke, Phys. Rev. B, 71, 115109 (2005).
4. L. Jensen et al., Proc. SPIE, 784207 (2010).
5. R. Negres et al., Proc. SPIE, 1272606 (2023).
About the Author
Mathias Mende
Dr. Mathias Mende is an optical design engineer at Edmund Optics GmbH (Mainz, Germany).


![FIGURE 1. Threshold fluence of different pure materials [3] (a) and of HfO2/SiO2 mixture [4] (b) for several pulse durations, measured on single layers applying a 1-on-1 test protocol. FIGURE 1. Threshold fluence of different pure materials [3] (a) and of HfO2/SiO2 mixture [4] (b) for several pulse durations, measured on single layers applying a 1-on-1 test protocol.](https://img.laserfocusworld.com/files/base/ebm/lfw/image/2024/06/665dcc14f4f6eec0d7318633-2406fw_2229_men_1.png?auto=format,compress&fit=max&q=45&w=250&width=250)







